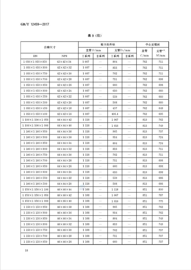
GB/T12459-2017鋼製對焊管件 類型與參數
- 分類:樱花草黄色电影資料
- 作者:樱花视频在线免费观看管道
- 來源:河北樱花视频在线免费观看管道有限公司
- 發布時間:2019-09-10
- 訪問量:934
【概要描述】
GB/T12459-2017鋼製對焊管件 類型與參數
【概要描述】
- 分類:樱花草黄色电影資料
- 作者:樱花视频在线免费观看管道
- 來源:河北樱花视频在线免费观看管道有限公司
- 發布時間:2019-09-10
- 訪問量:934
詳情












































河北樱花视频在线免费观看管道有限公司主網站:http://www.mamisijia.com
掃二維碼用手機看
- 聯係電話- 0317-6689999 6165555
- 業務郵箱- 9905791@qq.com
- 公司地址- 河北省滄州市鹽山縣城南工業開發區(中原管道南廠)
- 聯係手機-15530461111(微信同步)-孟經理
- 聯係電話- 0317-6689999 6165555
- 業務郵箱- 9905791@qq.com
- 公司地址- 河北省滄州市鹽山縣城南工業開發區(中原管道南廠)
- 聯係手機-15530461111(微信同步)-孟經理
版權所有:河北樱花视频在线免费观看管道有限公司 冀ICP備30849357號-6
熱線:0317-6165555
9905791@qq.com